Звільнений заступник головного архітектора Києва приховував від декларації свій архітектурний бізнес
Звільнений днями заступник директора Департаменту містобудування та архітектури Петро Захарченко не задекларував свій приватний будівельно-архітектурний бізнес. Про це стало відомо з даних Єдиного держреєстру юридичних осіб та фізичних осіб-підприємців.
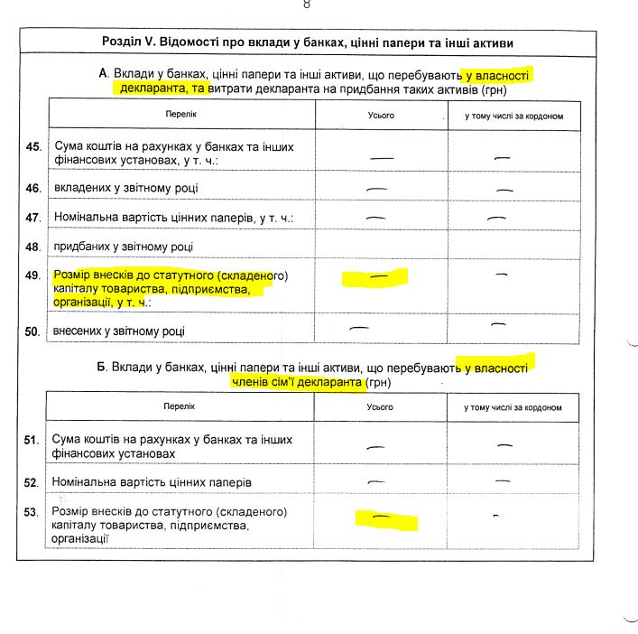
Згідно з затвердженою формою подачі декларації про доходи, Захарченко мав надати інформацію про розмір внесків до статутного капіталу товариства, підприємства або організації – своїх та своєї родини. Згідно з декларацією за 2014 рік, Петро Захарченко та його дружина не мають внесків до статутного фонду жодного підприємства.
Однак, згідно з даними ЄДРПОУ, Петро Захарченко має частку у двох компаніях. Перша – ТОВ «Сіті Проджект-ен Зед», компанія займається інжинірингом, тут екс-чиновник має 30%. Друга фірма – ТОВ «Арт-віль» (раніше «Фірма Зір»), основний вид діяльності котрої – архітектура. Цю компанію Захарченко заснував ще в 90-х разом з дружиною, наразі вони володіють фірмою навпіл.
Згідно з декларацією, за 2014 рік Захарченко заробив 125 тис грн. Дохід його дружини склав 242 тис грн.
Згідно з офіційною біографією, Захарченко уперше прийшов на державну службу у 1994 році на посаду дизайнера Головного управління містобудування та архітектури. Потім чергував державну службу з приватним бізнесом, загалом за цей час обіймав посади начвідділу Шевченківської РДА, головного спеціаліста Управління охорони пам’яток історії, культури та історичного середовища КМДА, начвідділу Головного управління містобудування КМДА. У березні 2013 Захарченко став заступником керівника Департаменту містобудування та архітектури, а також очолив Управління ландшафтної архітектури та комплексного благоустрою.
Департамент містобудування та архітектури з 2010 очолював Сергій Целовальник. Днями Віталій Кличко заявив, що звільнив Целовальника та двох його заступників через незадовільну роботу. Офіційне розпорядження на сайті КМДА ще не оприлюднене, однак заступниками директора Департаменту значаться Петро Захарченко та начальник Служби містобудівного кадастру. Останню посаду донедавна займав Андрій Вавриш. Вавриш був звільнений з посади раніше, у серпні, офіційно – «за власним бажанням», а по факту – після призначення службового розслідування в Департаменті, хоча перевірку так і не провели.

